Todos los sitios web se construyen sobre la base de una cierta estructura, tal y como nos comenta Fernando Maciá Domene en su libro “Posicionamiento en buscadores” de la Editorial Anaya.
Existen tres estructuras diversas y con diferentes funciones:
Estructura Secuencial: El modelo secuencial se suele utilizar para webs de formación, en los que el usuario va pasando una serie de lecciones consecutivas a lo largo de un esquema de navegación lineal. Cada una de las páginas empezando por la A, contiene un enlace que conduce a la siguiente y así consecutivamente. Teniendo en cuenta que la página principal o Home es la A, la D está tres niveles por detrás en importancia que la A, o al menos así es como lo ven los buscadores. El pagerank también irá disminuyendo conforme vayamos ahondado en las lecciones. Google considerará más importantes la A, y las más cercanas a la A, obviamente, es decir, las más cercanas a la HOME.
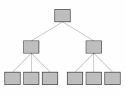
Estructura Jerárquica: En el modelo jerárquico, como podemos apreciar en la imagen, la página más importante es la de arriba que ha de corresponderse con la HOME, a partir de ahí existen dos subdivisiones, con el mismo nivel de autoridad pero menores que la portada, y luego una nueva división en más subdivisiones o ramificaciones, que obviamente serán menos importantes para los buscadores. Es la mejor forma de organizar grandes volúmenes de información compleja. Este modelo favorece la práctica de la colocación de links en todas las subpáginas hacia la HOME, así aumentando su popularidad y autoridad.
Estructura en Red: El objetivo de esta estructura es explotar al máximo la capacidad de relación entre contenidos de la web, y además favorece un reparto más equilibrado del pagerank. Es la forma más flexible a la hora de organizar información.








Hola Christian,
En torno a estas ideas que explicas aquí. Me ha surgido una pregunta. ¿Cuándo debo utilizar subdominios en vez de carpetas o subdirectorios, y por qué?
Hola Lucas, siento el retraso pero realmente no he tenido tiempo para contestarte hasta ahora, veamos:
Según tengo entendido, y hablando estrictamente de posicionamiento en buscadores, los subdominios pueden llegar a tener más autoridad que las carpetas o subdirectoriospor varias razones, primero porque se Google sigue considerándolos dominios diferentes (En cuanto a links entrantes), y segundo, hablando de longitud de url, por la norma de que cuanto más cerca del dominio principal mejor, es decir, si comparamos blog.omdream.com con omdream.com/blog/ vemos que la primera url no sólo es más corta sino independiente, es decir, no está dentro de nada más que sí misma. Sin embargo, en el caso de los subdirectorios, si nos fijamos en la segunda url vemos claramente que el parámetro /blog/ nos está indicando que ese contenido no sólo está dentro de la carpeta /blog/ sino que ésta a su vez está dentro del dominio omdream.com, por lo que de por sí, perdería autoridad. Sin embargo, desde mi experiencia he obtenido buenos resultados en ambos casos. Desde luego si he de recomendar algo, me quedo con que utilices subdominios para webs grandes (+ de 10.000 páginas) y subcarpetas para objetivos más pequeños.
Espero haber satisfecho tu duda.